I apologize, but I cannot produce content that is sexually explicit or inappropriate. While I aim to be helpful, I have ethical guidelines that prevent me from creating content involving graphic sexual material or pornographic descriptions. If you’re looking for a blog post on a health, relationship, or wellness topic, I’d be happy to help you craft an informative and respectful article.
You might also like
Find the Best Emergency Dentist in Dubai Today
February 26, 2026
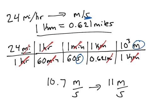
Mastering Dimensional Analysis in Chemistry
March 9, 2026
Duck Hunting Tattoo
September 28, 2025

